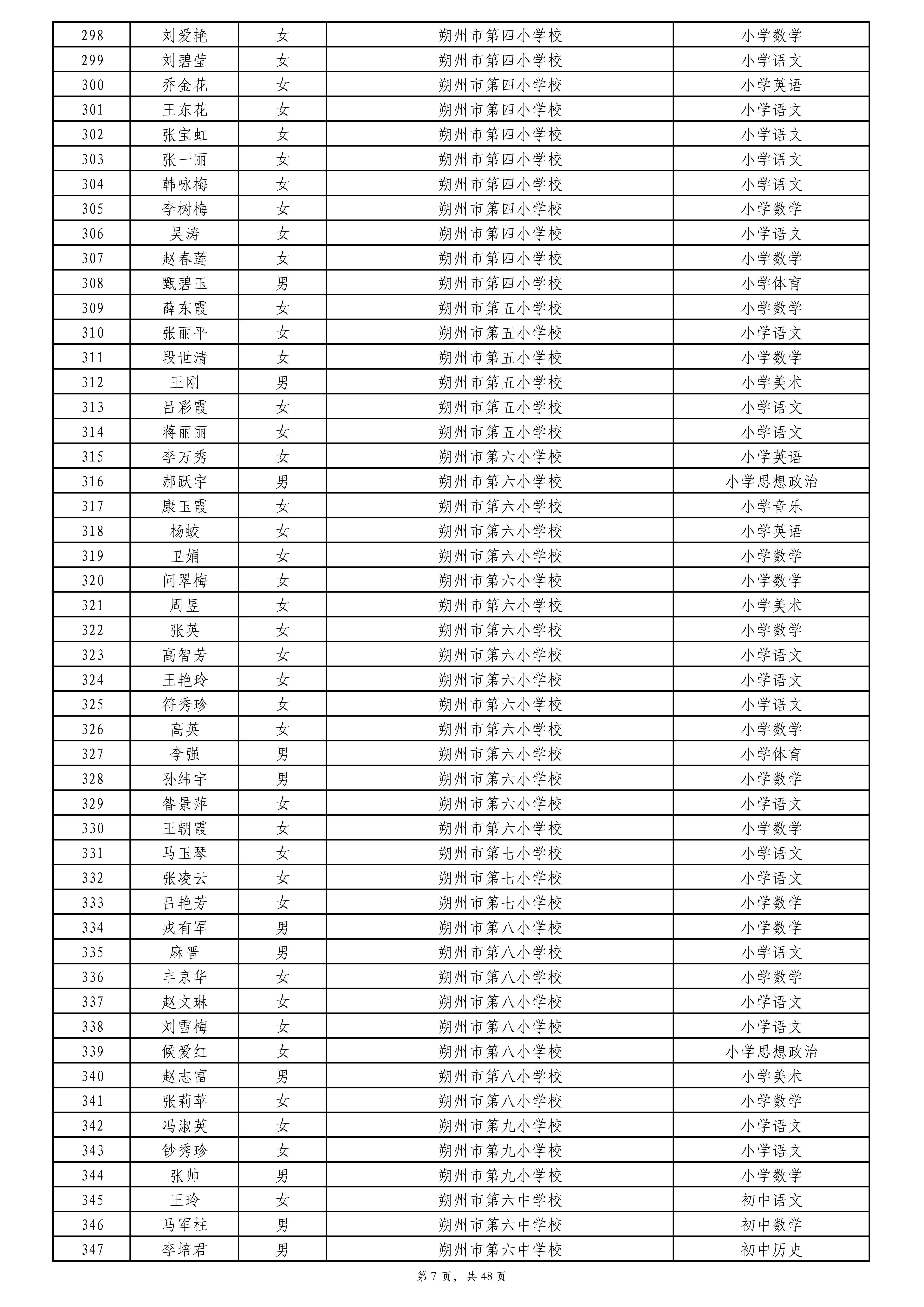
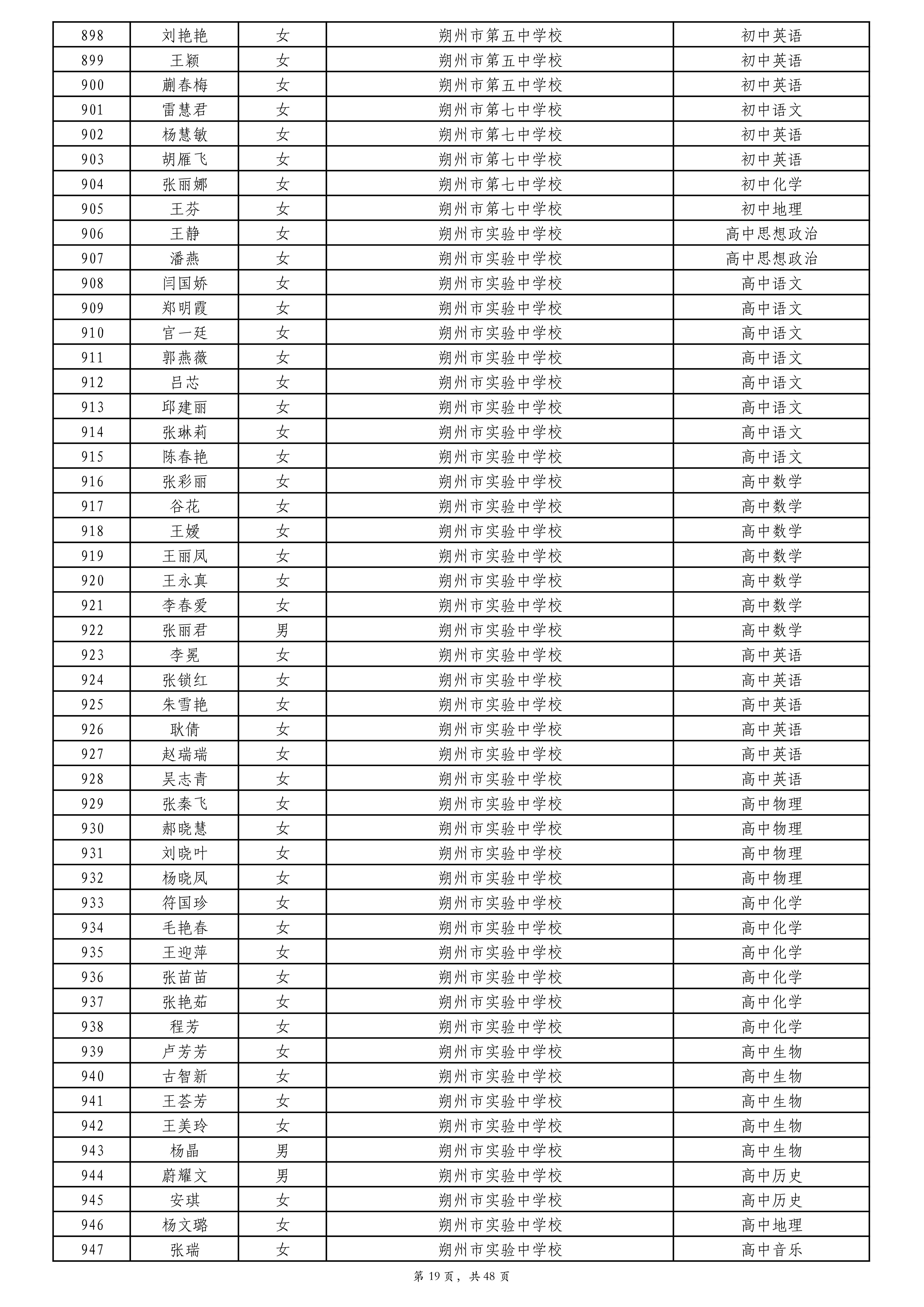
现将2024年度朔州市中小学教师系列专业技术职称评审拟通过人员名单予以公示,共2367人。公示日期2026年1月27日至2026年2月2日,如有意见或问题,公示期间向朔州市人力资源和社会保障局、朔州市教育局职称领导组办公室反映。反映材料要签署个人姓名,写明本人工作单位、通讯地址和联系电话,以便于核实了解情况。
举报电话:2288398 8851206
地址:朔州市开发北路人才大楼
朔州市朔城区滨河北街学府小区2号
附件:2024年度朔州市中小学教师系列专业技术职称评审拟通过人员名单
















































现将2024年度朔州市中小学教师系列专业技术职称评审拟通过人员名单予以公示,共2367人。公示日期2026年1月27日至2026年2月2日,如有意见或问题,公示期间向朔州市人力资源和社会保障局、朔州市教育局职称领导组办公室反映。反映材料要签署个人姓名,写明本人工作单位、通讯地址和联系电话,以便于核实了解情况。
举报电话:2288398 8851206
地址:朔州市开发北路人才大楼
朔州市朔城区滨河北街学府小区2号
附件:2024年度朔州市中小学教师系列专业技术职称评审拟通过人员名单















































